《王川: 深度学习有多深?》 - 阅读笔记
深度学习与增强学习
增强学习
除了前述的"有监督学习",生活中大多数问题是没有标准正确答案的.你的所作所为,偶尔会得到一些时而清晰, 时而模糊的反馈信号. 这就是"增强学习" (Reinforcement Learning) 要解决的问题。
"增强学习"的计算模型,最核心的有三个部分:
1. 状态 (State): 一组当前状态的变量 (是否吃饱穿暖, 心满意足? 是郁郁寡欢, 还是志得意满? )
2. 行动 (Action): 一组可以采取的行动变量 (是努力工作, 还是游山玩水? 是修身养性, 还是夜夜笙歌? )
3. 回报 (Reward): 采取行动, 状态改变后,把当前获得的回报定量化. (喝酒就脸红, 吃多了就发胖, 大怒就伤肝, 工作超过八个小时身体就被掏空, 等等).
增强学习的最终目的,就是在和外界环境的接触/探索/观察的过程中,不断改进策略,把长期的回报/利益最大化而已.
贪心算法
增强学习的理论基础, 要从运筹学里的"贪婪算法" (Greedy Algorithm) 说起.
-
- 贪婪算法的优点是容易理解,简单快速。但缺点是,
- 得到的往往是局部最优解,而不是全球最优。
动态规划
动态规划,英文是 Dynamic Programming, 直译为"动态程序", 这个概念由美国数学家 Richard Bellman 在1950年提出。
它是在贪婪算法的基础上改进的算法. 实际上它和"动态","程序"两个概念没啥关系。
据 Bellman 老师介绍,当初为了忽悠政府的经费,就使用了"动态"这个词。动态,给人一种灵活,性感,高大上的感觉.谁会对"动态"说不?
(学术潜规则!)
动态规划算法的本质,是把一个复杂的问题拆分为多个子问题,并且把子问题的答案存储起来,避免以后的重复计算。
由于动态规划是从全局分析问题,所以往往可以找到全局最优解.但它的局限是,
第一,计算量大,需要穷举和存储子问题的解答方案.
第二,动态规划的隐藏的假设是一个叫做"最优化原理"的东西,就是说,最优化的解决方案,可以通过其子问题的最优解决方案获得. 换句话说,最优化问题的子决策,对于相应的子问题也是最优的.
什么样的问题不符合"最优化原理"?
一个典型的反例, 从点 A 到 点 B 的机票,最便宜的路线选择,是要到点 C 转机. 但从 A 到 C 最便宜的机票 (子问题), 却要从 点 D 再转机。
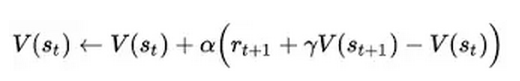
动态规划理论的核心, 用以 Richard Bellman 老师名字命名的 贝尔曼方程 (Bellman Equation)表示.
贝尔曼方程的核心, 就是:
用大白话说, 就是
目前状态的最大价值 = 最大化[ 眼前的回报 + {未来的最大价值,贴现到现在} ]
而动态规划要解决的问题,无非就是求解方程里的最优价值函数 V(x) 而已。
蒙特卡洛模拟
动态规划在实际操作上,最大的挑战就是所谓 "维度的诅咒" (Curse of Dimensionality),就是随着变量的增加,问题的复杂度和计算量的需求,指数倍地增长.
一, 状态空间 (state space): 举个简单的例子, 医院的血液库管理中, 主要有八个不同类别的血型 (A+, A-, B+, B-, AB+, AB-, O+, O-), 而这些血液的存量数量从 0, 1, 到 M不等. 那么这个状态空间就有 M^8 种可能.
二, 结果空间 (outcome space): 还是以血液库的管理为例, 每周都有不同数量的不同血型的血液,被捐献或者输出.
三, 行为空间 (action space: ): 不同血型之间, 谁可以给谁输血,有几十种可能性.再加上血液库里每个血型的不同存量数目,行为空间之广阔,让人头大.
如果计算量太大,无法精致,那么退而求其次,我们就寻求"近似精致".
一个近似精致的解决思路,是所谓 "蒙特卡洛模拟" (Monte-Carlo Simulation).
MC 模拟优化的核心, 分两个部分:
第一是计算模拟。
当没有简单的理论模型,维度的诅咒无法逾越时,
取而代之的是用计算机随机产生的参数,对可能的路径发展进行大规模模拟计算。
大量模拟之后,在各个状态节点,根据其模拟的平均值, 计算出一个接近理论值的预期价值函数.
第二是通用策略迭代 (Generalized Policy Iteration)。
根据模拟出来的价值函数,使用贪婪算法修正各个状态的策略,
也就是说,修正后的策略在每一步的选择 都是根据模拟的价值函数,寻求下一步的眼前利益最大化。
再根据调整的策略,回到第一步,重新模拟,更新价值函数。
两个步骤不断循环,渐进提高,直到接近最优值.
(如下图, V 代表价值函数, Pai 代表策略)
关于 "通用策略迭代", 一个生活中的例子是,八十年代的宣传是"学好数理化,走遍天下都不怕",所以数理专业是当时大学生短期利益最大化的最优选择.
但数学物理毕业生大多很难找到好工作,读 MBA 才可以有最高的薪水,许多人又纷纷跑去读 MBA.
拿到 MBA, 到大公司工作几年后,遇上金融危机,没攒什么钱又可能被解雇了.
过了几年再发现,有些刚毕业就去开公司的小毛孩,身价已经估值过亿.于是再改头换面,加入新的创业大潮。
MC 模拟的一个优点是,无须建模,完全根据实际经验来学习,容易上手.
毛主席曾说:“一些老粗能办大事。成吉思汗,是一个不识字的老粗。刘邦,也不认识几个字,是老粗。朱元璋也不认识字,是个放牛的。… ** 没念过书, ** 也没有念过书,** 念过高小, 结论是老粗打败黄埔生。”
这里的老粗,就像大量 MC模拟后的生成的实用性强的算法,没有生硬的理论培训,就在枪林弹雨中不断被淘汰,被选择,被教育. 而黄埔生则是被"维度的诅咒"束缚的动态规划的理论.
-
- 但 MC 模拟算法的一个不足是, 学习和提高 (根据价值函数,更新策略) 是要在一个模拟的轮回, 岁月蹉跎之后才可以发生,而不能够实时进行.
- 在残酷的生存竞争中,需要的是一种更快的, 根据反馈来实时调整策略的能力.
这个算法的改进,启发来自于人脑多巴胺 (Dopamine)释放的机制。
时间差分学习
目的:近似最优价值函数。(人的价值判断体系)
研究的结论是: 多巴胺的释放,取决于获得的奖励和预期之间的差值,Delta。
现实和预期的差别, 促成了多巴胺的释放, 这是学习和进步的源动力。
时间差分学习 (Temporal Difference Learning, 下面简称为 TD学习) 思想的雏型, 上世纪五十年代就被不同的学者提出.
它的核心思想, 就是在每个时间点通过计算现实和预期的差值,来微调价值函数值. 这和大脑多巴胺释放的机制,不谋而合。
它与蒙特-卡洛(MC)模拟的区别在于:
-
- MC 模拟要在一个轮回之后,再更新各个节点的价值函数。
- TD 是在每个时间点, 根据观察到的结果不断评估,微调。
打个简单的比方,如果把"过河"作为一个要解决的问题:
-
- 动态规划的解决办法,就是耗费大量时间测算河水的深浅,河里的石头大小,分布,然后计算最优的过河方案. 它的缺点是耗时过长, 很可能方案算出来的时候,你的孙子都已经出生了.
- MC 模拟,就好比派一大群志愿者强行渡河,有些人在渡河中会摔跤甚至淹死,但经过大量先烈前赴后继的实验后,也可以找到最佳方案。
- TD 算法,就是"摸着石头过河"。
TD 算法真正名声大噪, 要到 1992年, 在一个古老游戏上的应用。
迄今为止关于各种算法的讨论,都离不开一个核心概念: 价值函数. (人的价值判断体系)
简单说,在贝尔曼方程里面,价值函数就是目前状态的理论最大值。
如何近似价值函数?精确计算的话运算量过大,比如围棋。
1992年,IBM的研究员 Gerald Tesauro 开发了一个结合时间差分学习 (TD Learning)和神经网络的算法,给它取名 TD-Gammon, 专攻双陆棋。
(用神经网络近似价值函数,你是好派?还是P派?)
TD-gammon 使用了一个三层神经网络,如下图,
-
- 输出值是价值函数的估算,
- 中间的隐层有40-80个神经元,
- 棋盘状态由198个神经元代表,为输入端。
TD-gammon 最初版本,中间的隐层只有40个神经元,通过自己和自己下棋提高水平。
每走一步,用时间差分算法,根据价值函数估算的差值,重新微调神经网络的参数。(每走一步,都有好与坏的概念,细致地讲,好多少,坏多少)
经过三十万个棋局的自我训练后,它达到了此前表现最好的电脑程序的水平。甚至,TD-gammon 的另外一个收获是,在开局的落子上,发现了另外一种被所有前人忽略的走法,比传统走法要略优。
在用神经网络计算拟合最优价值函数 (最大利益)的实践中,最大的挑战,就是神经网络的参数无法收敛到最优值,甚至变得发散。
-
- 这个问题的第一个原因, 增强学习在和环境互动的过程中, 获得的数据都是高度相关的连续数列。当神经网络依靠这些数据来优化时,存在严重的样本偏差。
- 这个问题的第二个原因,在于神经网络对于价值函数的估算值极为敏感。 如果价值函数值出现波动,会直接影响到在和环境互动,学习的过程中收集到的新的数据样本,进而影响神经网络参数的巨大波动而无法收敛。
- 这个问题的第三个原因,在于价值函数值的范围,事前很难有正确的估计。
其中俩问题的解决,as following。
在增强学习领域,经历 (experience) 是指四个参数的集合:
- (x, a, y, r) 表示在状态 x, 做了 a, 进入了新的状态 y, 获得了回报 r。
- 教训 (lesson) 则是指一个时间序列的经历的集合。
经历回放 (experience replay) 的概念由 Long Ji Lin 在 1993年的博士论文里第一次提出。
"经历回放" 的第一个好处是更有效率。经验教训,尤其是有重大损失的经验教训,是昂贵的,如果把它存储到记忆里,可以日后反复调用学习,那么学习效率就会大大提高, 不用吃二遍苦,受二茬罪.
于介绍过的神经网络的“长短期记忆” (Long Short-term memory) 有异曲同工之妙。
”经历回放“在增强学习的计算中是这样实现的:
在环境中学习积累的数据 (x, a, y, r) 被不断存储到一个数据集里.
每一次对神经网络的参数进行更新时,就从数据集里随机地调取一小批”经历“,帮助培训神经网络.
"经历回放"样本的随机性,彻底解决了价值函数发散的两个原因:
-
- 第一, 每次用于培训的一小批“经历”不再是连续相关的数据。这就好比一个小白投资者可以同时见证学习牛市,熊市,猪市和猴市, 跳出了他生活时代的历史局限.
- 第二, 每次用于培训的“经历”不再受价值函数波动对环境的影响,这就好比股票投资者在股市时髦的时候,仍然有机会全面地学习房市,债市,外汇, 期权, 期货,风险投资等其它领域的知识,跳出了他工作环境的局限.
经验也有座次,as following。
实际操作上,不管是人还是机器, "经历"的数据集的大小是有限制的。如果积累的数据超过这个限制,不得不将老的数据扔掉,给新的数据腾出空间。
不是所有的经历的记忆,都有同样的价值。算法上如何管理有限的记忆,给有些经历更多的优先权,是一个重要的问题.
一个改进的算法,所谓“优先化经历回放", (Prioritized Experience Replay) , 是把各类经历按照所谓的时间误差 (Temporal Difference Error) 来排序,误差绝对值越大的经历,日后被重新调用的几率也就更大。
深度-Q-网络
"突围" 游戏的规则很简单:显示屏上八层砖头,每两层是同一种颜色, 总共分黄,绿,桔,红四色。玩家用板子击球,球碰倒砖头后就得分。不同颜色的砖头得分各不相同。如果来球没有被接到,就丢掉一个回合。球的速度随着击打次数的增加也不断增加。
最终目的是在三个回合内获得最高分.
2013年12月,总部在伦敦的 Deepmind 公司的团队发表论文:Playing Atari with Deep Reinforcement Learning ("使用深度增强学习玩Atari 电脑游戏"), 详细地解释了他们使用改进的神经网络算法在包括 Atari Breakout 在内的电脑游戏的成果.
Deepmind 算法设计时,把电脑游戏的最新的四帧屏幕,作为神经网络的输入。每帧屏幕用 84 x 84 的像素表征.
除了获得的分数以外,没有任何人为输入的游戏规则的信息。全靠长期培训,让机器自己悟出,什么是最佳的策略.
神经网络有三个隐层,
-
- 其中有两个卷积层 (convolution layer), 用于过滤和提取像素中的局部特征。
- 第三层是一个全连接层 (Fully connected layer), 针对游戏中每一个瞬间玩家可能采取的行动选择 (大约有 4-18个行动选择),输出相应的价值函数的估算。
不同行动选择的回报值,就是所谓的 Q-value. 神经网络的培训,就是要拟合 Q-value,用于计算如何选择利益最大化的行动. 这个用三层神经网络学习打游戏的模型,就叫 Deep-Q-Network (深度-Q-网络, 简称 DQN).
DQN 的参数初始值,完全随机化,就像一个新入行,两眼一抹黑的小白。但开始不懂没关系,最重要的,是自我学习新技能的速度。
在增强学习和运筹学里一个经典问题是选择”勘探还是开发“ (exploration or exploitation) . 换言之,是仅仅根据现有的信息把利益最大化,还是花一部分时间去探索外面的世界是否更精彩.
解决这个问题的通行做法,是所谓的 epsilon-greedy strategy, 这里翻译为 "有时不贪婪的策略". 这个策略,就是大部分时间贪婪 (根据现有信息寻求利益最大化),但是还有 epsilon 的几率去做一些完全随机的探索 (有时不贪婪).
-
- 埋头读书工作,固步自封的人,epsilon = 0, 这是传统的贪婪策略.
- 天天到处乱晃,东一榔头西一棒子的人, epsilon = 1.
这两个极端都不好;有时不贪婪,做一些短期的牺牲,是为了长期的贪婪和利益最大化。如何把握 epsilon 这个度,是个挑战。
DQN 的 epsilon 的初始值为 1,以随机探索为主, 经过一百万帧的培训后慢慢降到 0.1 不变, 也就是始终保持 10%的时间随机探索。
对于一个 60 赫兹的显示屏而言,一秒钟是 60帧,一百万帧就相当于约四个多小时的游戏时间。
DQN 在拟合神经网络参数的计算时,使用了上篇文章提到的 “经历回放”的技巧,用于存储经历的空间达到一百万帧.
DQN 的算法,用大白话来说,是这样的:
神经网络参数随机初始化 (刚出道,什么都不懂,无知者无畏)
把下面的循环重复 N 遍:
从 1 到 T 时间
以 epsilon 的几率随机探索
否则, 选择现有认知下, 利益最大化的行动 a(t)
干 a(t), 完事后记下回报 r(t), 和新状态 s(t+1)
把刚才的经历写入记忆,用于以后回放 (获得了经验)
从记忆中随机提取部分经历,
通过随机梯度下降的计算方法,优化拟合神经网络的参数(优化了经验)
经过长期培训后的 DQN, 打电脑游戏时的表现,让程序设计者也大吃一惊:(值得实践)
- 刚开始, 不了解游戏规则的程序,表现得像个无头苍蝇,老是漏球.
- 经过10分钟的训练后,慢慢懂得要用板子击球,才可以得分.
- 经过120分钟的训练后,程序可以迅速准确击球,表现得有点专家的味道了.
- 经过240分钟的训练后,程序发现了一个获得高分的捷径:
- 不断用板子击球到最左边,
- 连续数次后左边的几层砖头全部击倒打通,
- 随后击球就可以经过这个隧道绕到墙的后面,
- 在墙壁后面多次连续反弹击倒一大片砖头,获得高分。
这个精巧的打法,是程序设计者事前完完全全没有想到的!
在训练过程中还有这样一个问题,由于算法在决策过程中总是有一定几率的随机探索,每局游戏的比分总是有些随机的波动。
对于一个普通观察者来说,在一个较短的时间段内,他只看到每局得分大起大落,但无法准确判断程序是否真正学到了东西,有技能的提高.
这里对于价值函数最大值 Q-value 的估算就派上用场了, 如下图.
-
- 左边两图是程序在多次培训后平均得分的曲线图。对于旁观者而言,图中的右半部波动较大,看不出得分有什么进步。
- 右边两图,则是神经网络对 Q-value 的估值,这个数字,则是一直缓缓上升的。
这里面有个非常深刻的洞见:
如果人们总是让人生旅程上短期的得失,尤其是因为偶然不可控因素导致的得失,影响情绪上的波动,那么精神状态就会象左边两张图一样忽上忽下,而随之而来的狂躁症,忧郁症,双向情感障碍,也就成为必然.
但如果树立了科学的方法论和价值观,可以正确地估算 Q-value, 面对短期的大起大落,知道自己实际上是在不断进步,知道未来在变得更好,知道短期的挫折或者成就以后不值一提,所以可以拒绝一惊一乍,所以可以坚持平心静气.
所谓宠辱不惊,原来无非如此。
(上述感受不谋而合)
回头看,如果要总结为什么机器打游戏彻底超越人类玩家,主要原因还是三点:
第一,计算能力的大幅度提升,这是最根本的.
和在西洋双陆棋上实现突破的 1992年时相比,2013年的使用 GPU的计算能力至少增加了几十万倍。只有这样的计算能力,才能够处理复杂的神经网络模型和海量的输入数据.
第二, 算法的改进
这里,主要是深度神经网络,经历回放和传统增强学习的理论模型的结合。
第三,由于计算速度的提高,和算法的改进,机器有能力探索更广阔的状态空间,从而有能力发现人类从未感知的一个全新的世界.
更重要的是,和图像识别,语音识别这类有明确标准答案的问题不同,这一次,程序设计者甚至都没有设定任何明确的游戏规则,只有游戏屏幕的原始像素的输入,和游戏得分的回馈,其它一切让机器自己去摸索.
然后机器发现了比人类更好的打法.
这让学者们看到了实现真正的 “强人工智能”, (机器自发解决以前只有人类才可解决的抽象问题)的希望.
机器超越人的智能,本质上也无非就是 算得更快,记得更多,更善于探索 而已。
2014年一月,谷歌宣布以五亿美元收购 Deepmind. 对于大多数吃瓜群众而言,一个没有什么收入,就是写了个可以打游戏的程序的公司, 估值五亿,完全不可思议。
吃瓜群众焉知人工智能之志哉?
有诗为证: “飞来山上千寻塔,闻说鸡鸣见日升,不畏浮云遮望眼,自缘身在最高层"。
