宇宙究竟是不是宿命的?人究竟有没有自由意志?
这是个根本问题。
百度后,收集几个比较有深度的帖子如下:
帖子一:
关键就在于你不知道初值!。。。。假如我有一个生成随机数的算法,只要知道初值你就知道后续生成的每一位随机数。。。。但是现在你只有结果,不知道初值,更不知道这个算法如何运转。。。你怎么看待这些结果,你能区分这些我生成的假随机数和真随机数吗?。。。。如果不能区分,那么你就只好认同它们就是随机的,和自然界一切其它的随机现象的本质是相同的。。。。因为有随机性存在,所以你可以有理由去反驳宿命论,就像量子力学所作的那样。。。。但是反过来想一想,假如某天你知道了初值,知道了生成算法,你就会突然发现这一切都是确定的,容不得半点修改。。。。。现在问题来了,我们无法知道自然界本身的随机性发生的机制,也许随机性根本就不存在,所有的一切都是混沌系统的复杂性导致的。。。但是我们得到的结果却和这个猜想正确与否没有任何关系——无论如何,我们得到的都是相同的结果,并且我们将这个结果定义为“随机”——在这种情境下,宿命论本身就已经死去。。。。。
对这个问题的认知层次结构如下:-----------(基本因果律和直觉导致的推断(拉普拉斯机械论))
宿命的
-----------(混沌与复杂性导致的不可预测性(量子力学测不准原理))←_←目前观点
随机的
-----------(复杂性导致的不可视界限(自反馈系统导致的混沌与自组织))
强宿命的
------------ 我是偏向于这种观点的
帖子二:
帖子三:
前面 @andrew shen 同学的回答已经非常好了,尤其是“决定论既不可以被完全证明, 也不可能被证伪”这一句话就已经完美总结了决定论的状况。但是有关现代物理学对决定论的影响,我相信许多人依然会有很多疑问,尤其是量子力学的存在而对决定论的影响。我这里附上一份以前写的一篇文章,探讨量子力学的决定论性诠释,并且试图纠正人们对量子力学的一些普遍的错误认识。相信此文可以回答现代物理背景下决定论的许多问题。文章只是总结了前人的一些研究,把我认为比较重要的部分放在一起方便不了解的人快速了解,并没有原创性的内容。
因为本文当时的写作环境原因,可能有少数内容显得与题目无关,但是我自认为这篇总结的信息密度还是很高的,对于不了解的人,认真阅读每段内容一定会让你大有收获(非物理专业背景的同学可以直接跳过公式,最重要的物理意义我都会有文字阐述)。下面开始正文。
===================
量子力学作为近代物理学最重要的基石之一,在建立的一个世纪以来为人类科学和技术的发展做出了巨大贡献;其本身的结果的正确性也已经得到了无数实验和实践的验证。而在这个过程中,量子力学本身,无论在方法和应用上、还是在基本原理上,也都得到了长足的发展——其中很重要的一点是,相比于量子力学的基本公式(如薛定谔方程)在上个世纪初被刚刚提出来时,人们对它的物理意义的认识的含糊不清,在之后的年代里人们对量子力学提出了各种各样的诠释来解释它的公式所代表的物理含义。其中,由玻尔和海森堡提出的哥本哈根诠释是最早被提出的一种诠释,也是最被人广为接受的一种诠释。多年以来,哥本哈根诠释都被当作是量子力学的“正统诠释”。这种诠释的影响力是如此之大,以至于它的许多假设往往被许多人当成了量子力学本身的假设;许多教科书在讲授量子力学的时候,甚至在不出现“哥本哈根诠释”这个名字的情况下,就把哥本哈根诠释的假设和它所代表的物理意义当作量子力学本身来讲。这种情况的结果就是,许多人对量子力学的理解其实是对哥本哈根诠释的理解。本文就介绍一种量子力学的其他诠释——德布罗意·玻姆诠释,讨论该诠释的物理意义,尤其是其对决定论的深刻影响。
在深入到本文的主题以前,首先必须要对一个概念进行澄清。那就是什么是量子力学的“诠释”(Interpretation)。正如字面意思所表达的那样,量子力学的诠释就是对量子力学的基本原理及其物理意义的解释。当然,一种诠释要被认可,必须要符合实验观察的结果;只不过,符合实验观察结果的理论不一定只有一种,所以就会产生对实验结果的不同解释。本文所讨论的诠释,虽然与哥本哈根诠释的基本公式、假设以及引入的物理量都不完全相同,但是其计算得出的所有可观测量的结果都与哥本哈根诠释完全相同。因此从实验的角度讲,他们都有完全相同的可信程度。
在讨论其他诠释之前,我想先对量子力学“正统”的哥本哈根诠释做一个简单的回顾。哥本哈根诠释假设一个量子系统的量子态可以用波函数来完全地描述,波函数代表一个观察者对于量子系统所知道的全部信息。波函数的模平方代表了一个事件的概率。例如,在位置表象下,一个粒子的波函数代表了这个粒子处于空间中各个位置的概率。在对这个粒子的位置进行观测以前,这个粒子不存在确定的位置。粒子的动量/速度也是同理。当对这个粒子的位置(或动量)进行观测的时候,它的波函数就会随机地坍缩到某一个特定的位置(或动量)本征态。这种坍缩是完全随机的,没有确定的规律可循,具体坍缩到哪一个本征态是无法预测的,坍缩到每一个态的概率由其波函数模平方决定。这种随机性是内秉的、不可约的,是自然界的一种基本属性,不存在更深层次的机制来引导坍缩的方式。在哥本哈根诠释下,自然界从本质上讲就是随机的。
哥本哈根诠释最无法让人满意的部分就在于其有关“观测”和“坍缩”的描述。许多物理学家坚持,一个描述自然界基本运行规律的理论应当能够描述一切物理过程,而哥本哈根诠释对于“观测”和“坍缩”的过程无法给出任何解释,因而是“不完备”的。的确,对于任何一个使用哥本哈根诠释描述的量子系统而言,都需要一个外在的“观测者”,而“观测行为”则无法在哥本哈根诠释的框架下进行描述。
在哥本哈根诠释被提出之后的很多年里,又有许多各种各样的其它诠释被相继提出。它们往往与哥本哈根诠释能够得出相同的实验可观测量计算结果,但是具有完全不同的基本假设和对物理图景的解释。其中一种很让人着迷的诠释是德布罗意-玻姆诠释(De Broglie-Bohm theory),又叫“导波理论”(Pilot-wave theory)、“玻缅力学”(Bohmian mechanics)、“因果性诠释”(Causal interpretation)、“实在论诠释”(Ontological interpretation)等(有些名字是历史上的名字)。该理论最早是由德布罗意提出来的,但是由于泡利等人的反对他最终放弃了继续发展他的理论(据说爱因斯坦在德布罗意提出他的理论的同年早些时候也提出过类似理论并且写出了论文的预订本,但是最终他觉得还是有些问题所以在正式发表之前又取消了);后来玻姆进一步发展并完善了德布罗意的理论,对泡利的反驳给出了合理的解释,最终于1952年在Physical Review上发表了他的论文I和II,但很可惜的是玻姆的论文很大程度上被当时的物理学家忽略了。我所找到的该理论的近期发展是由Hrvoje Nikoli做出的,他于2007年到2011年间发表了一系列文章,将德布罗意-玻姆诠释推广到各种量子力学的近代发展相容的版本——包括相对论协变、量子场论甚至弦理论的版本。
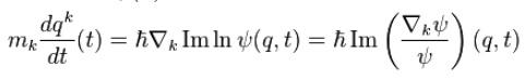
在德布罗意-玻姆诠释中,粒子在每一时刻具有确定的位置和速度,正如经典物理理论中那样。波函数依然存在(在该理论中有时被称为“导波”),并且遵照薛定谔方程进行演化。但波函数不再像哥本哈根诠释中那样被看作是描述粒子处于各种状态的概率,而是作为一种决定粒子如何运动的因素。具体来说,与传统的非相对论性量子力学等价的德布罗意-玻姆理论的基本方程由以下两个方程组成:


其中q是描述系统位形的物理量,如果在位置表象下就是各个粒子的位置。
第一个方程就是我们熟悉的薛定谔方程,描述波函数的演化规律。第二个方程叫“引导方程”(Guding Equation),描述波函数如何决定粒子的状态如何变化,即粒子如何运动。引导方程可以从波函数中直接给出粒子运动的速度,从而可以得到粒子运动的确切轨迹。但是,这不意味这可以无限精确地测量粒子的位置和速度。可以在德布罗意-玻姆理论的框架下证明,在测量的时候,不确定关系依然满足(更多讨论见后面“量子平衡”的部分)。
德布罗意-玻姆诠释的基本理论中不包含观测导致坍缩这样的随机性部分。理论完全是决定论式的。波函数并不是对粒子概率的描述,而是对粒子的确定性运动进行影响的因素。
举一个例子,德布罗意-玻姆诠释是这样来理解双缝干涉实验的。波函数自己与自己干涉,在空间中产生波纹状的分布。每一个粒子在每一个时刻的运动速度由波函数决定,从而粒子的轨迹在空间中也会产生疏密相间的分布。按照德布罗意-玻姆理论计算的双缝干涉实验中电子轨迹如下图示意:

而2011年发表在Science上的一篇文章与上图有着很有趣的关联。这篇文章中,提出了一种名为“弱测量”的新实验方法,可以测量量子粒子运动的平均轨道。因为与本文内容关系不大,对他们的实验方法不做过多介绍,简单来说就是用很弱的粒子去探测被测粒子,被测粒子的运动不会受到很大影响,但是只能得到信息很少、很模糊的测量结果。将这种测量应用到大量粒子上,最终就可以得到一个平均值。他们用这种方法测量了电子双缝干涉实验中电子的平均轨道,得到的结果如下图:

这与德布罗意-玻姆理论计算的电子轨道是很相似的。当然,这不能说明任何问题,因为量子力学的其他诠释同样也可以给出这样的“平均轨道”。
回到德布罗意-玻姆诠释的基本方程。特别值得注意的一点是,从②式可以看到,德布罗意-玻姆诠释中,每一个粒子的运动都由整个系统的波函数决定。也就是说德布罗意-玻姆理论是一个彻头彻尾的非定域(non-locality)理论,它从根本上、从基本方程上就是非定域的。事实上,德布罗意-玻姆理论是一种非定域的隐变量(hidden variabal)理论(而且是最成功的隐变量理论),而贝尔有关贝尔不等式的证明,已经彻底否认了定域隐变量理论的正确性。换句话说,任何符合量子力学规律的理论、也就是任何符合实验观测事实的理论,要么不满足“定域性”(Principle of locality),要么不满足“反事实确定性”(Counterfactual definiteness)。定域性可以理解为,粒子的一切属性(例如质量、电荷量、自旋等)都是“定域在粒子所在的位置的”;从而两个粒子的相应属性不可能“超距地”互相影响。反事实确定性的概念则比较难以理解,所谓的“反事实”,是指一件与已发生的事实相反的事;反事实确定性的概念可以以这样一个问题来描述:“当你测量了一个量的时候,是否可以去问:如果我测量了另一个量结果会怎样?”比如说,海森堡不确定原理指出,不可能以任意精度同时测量粒子的位置与动量。假如一次实验测量了粒子的位置,就摧毁了它动量的信息。这种情况下,我们是否可以问:假如我们刚才测量的是动量,结果会怎样呢?或者说,“假如我们刚才测量的是动量,其测量结果与我们实际测量了的位置组合在一起,是否包含在描述这个粒子所有可能状态的统计族群中呢?”具体来说,如果位置测量的结果是r0,那么对于一个反事实确定性成立的理论,包含粒子所有可能状态的统计族群将是一系列的(r0,p),p遍历所有可能的动量;而对于一个反事实确定性不成立的理论,这时的统计族群将只有一种情况:(r0,⊥),⊥表示动量值无确切定义。用一个生活化的例子来理解反事实确定性就是,在不具有反事实确定性的理论中,问这样两个问题就好像问“一个人站在房间的什么位置”和“这个人膝盖上有什么”一样:如果“一个人站在房间的什么位置”可以回答,那么他“膝盖上”则没有定义,第二个问题无法回答;如果“这个人膝盖上有什么”可以回答,则说明他一定是坐着的,这时“他站在房间中的什么位置”则是一个没有定义的问题,因为他根本没有站着。经典物理显然是一个既满足定域性又满足反事实确定性的理论。有关贝尔不等式的证明及其与实验的抵触则表明一个满足实验要求的量子力学诠释必须违背至少一项。哥本哈根诠释实际上两项都违背了:首先它显然不是一个具有反事实确定性的理论;对于定域性的违背,虽然基本方程中看不出来,但是从EPR佯谬、量子纠缠的推论中可以看出哥本哈根诠释也是违背定域性的。德布罗意玻姆诠释则是一种不违背反事实确定性的理论:在这个理论中,粒子的位置与动量同时具有确定的客观值,粒子有确定的轨迹;于是,作为一个满足实验要求的量子力学诠释,它的定域性一定遭到了破坏。如前所述,德布罗意-玻姆理论从根本方程上就是非定域的。在该理论中,包括量子纠缠等等一系列非定域的现象,都是处于理论核心位置的基本特性。
下面是另一种看待德布罗意-玻姆诠释的方法。这种方法可以与经典物理进行简单的类比,从而获得对德布罗意-玻姆诠释更深刻的理解。
从薛定谔方程

出发,将波函数写成用模和辐角表达的形式:

将④代入薛定谔方程③中,并定义

则薛定谔方程可以化为两个实方程。第一个是哈密顿-雅克比方程:

第二个是守恒方程:

将④代入②,也就是德布罗意-玻姆理论的“引导方程”中,展开化简,可以得到引导方程的另一种形式:

结合⑧式和⑥式,可以得到:

注意⑨式与牛顿第二定律的形式完全相同,唯一的区别就是在经典力学的势能项V中多了一项Q。注意Q是完全由波函数决定的,这说明,在德布罗意-玻姆理论中,波函数的物理意义其实是一种“量子势”,与经典的势(对应于粒子受到的各种力)共同决定粒子的运行轨迹。如果愿意的话,甚至可以将薛定谔方程的效应看成是一种特殊的量子效应产生的力,粒子在经典力与“量子力”的共同作用下,即会表现出量子力学特有的运动形式(例如在双缝干涉产生波纹样的运动轨迹,见后)。从这个角度讲,德布罗意-玻姆理论可以看作是一种对经典力学的量子化修订。
德布罗意-玻姆理论中,一个非常重要的概念是“量子平衡”(Quantum equilibrium)。量子平衡是指这样一种状态,粒子在空间中的密度分布(或位形空间)满足正比于波函数的模平方,即.在哥本哈根诠释中,粒子处于某种状态的概率正比于波函数的模平方,这是哥本哈根诠释的一个基本假设;而在德布罗意-玻姆诠释中,这不是一个基本假设,而是从粒子的运动方程中自然涌现出的一种结果。只有对量子平衡的状态,德布罗意-玻姆理论才能给出与哥本哈根诠释完全相同的可观测量计算结果。然而,基于下面的原因,量子平衡态是大自然的一种“典型”的状态:可以证明,在德布罗意-玻姆诠释下,一个处于量子平衡的系统将永远维持量子平衡状态;一个非量子平衡的系统按照德布罗意-玻姆理论的方程演化,则会有极高的概率、以极高的速度迅速演化成量子平衡的状态,因为量子平衡的状态占据了绝大多数情况。经典力学中的一个例子可以很好地与量子平衡态的概念进行类比,这就是热力学的统计平衡、和熵增加原理。一个低熵的状态会以绝大概率演化为高熵的状态,从而有热力学第二定律。在自然界中,我们几乎不可能看到一个容器中气体分子恰巧都集中在容器的一边,而另一边是真空;而即使是给定一个所有气体分子都集中在容器一边的初始状态,系统也会以绝大的概率、极高的速度迅速演化成气体分子充满整个容器的统计平衡状态。这种热力学的不平衡态就对应于德布罗意-玻姆理论中的量子非平衡态(Quantum non-equilibrium)。Valentini曾给出证明,若对量子非平衡态按照德布罗意-玻姆理论进行物理量的计算,不确定关系可以被违反。换句话说,在德布罗意-玻姆诠释下,不确定关系也并非一个基本原理,而是量子平衡态的推论、一种随着量子平衡的达到而自然演化出的状态。因为我们实际只能见到量子平衡态,所以在我们实际可见的情况下,德布罗意-玻姆理论给出的一切结果都与哥本哈根诠释相同。然而,假如真的能找到量子非平衡状态(虽然基于上述理由这几乎不可能。这种状态可以用不确定关系的违反来标志),那么这就是对德布罗意-玻姆理论坚实的证据,也是可以真正区分德布罗意-玻姆诠释和哥本哈根诠释谁对谁错的唯一方式。
德布罗意-玻姆诠释与哥本哈根诠释另外一点区别是,哥本哈根诠释要求有一个外在的观察者,对系统的观测导致波函数的坍缩。波函数的坍缩是哥本哈根诠释的一个基本假设。而德布罗意-玻姆理论则不是这样。德布罗意-玻姆理论的基本方程实际上是把整个宇宙作为研究对象的,这时候,波函数的自变量包含了宇宙中所有粒子的位置(这时的波函数称为“宇宙波函数”)。宇宙波函数永远不会坍缩,而宇宙中所有的粒子的运动轨迹和物理量都取决于弥散在全空间的宇宙波函数。量子纠缠等非定域性现象在德布罗意-玻姆诠释中有着深刻而根本的意义:纠缠的物理量不是粒子本身的性质,而是宇宙波函数的性质。如此来看,“超距作用”也就不足为怪了(依然可以证明,信号无法以超过光速传播,从而因果律不会被破坏)。对于任何更小范围的系统的研究,本质上来说其实是宇宙这个整体系统的一个子系统。如果宇宙波函数可以因式分解:

其中,表示整个宇宙的波函数,
表示要研究的子系统的波函数,
表示宇宙中其余粒子的波函数,
表示要研究的子系统的所有粒子的位形,
表示宇宙中剩下的其他所有粒子的位形。能够这样分解则表明,该子系统与其他系统之间没有相互作用,从而是独立的。这种情况下,将因式分解的宇宙波函数代入基本方程,方程可以分解开,得出子系统可以单独按照薛定谔方程的规律自己进行演化。而一旦有外界观察者对该系统进行测量,就意味着子系统与外界有相互作用,此时波函数无法这样因式分解,子系统将不会按照薛定谔方程的规律进行演化。这种观测对子系统波函数的影响,在哥本哈根诠释中被解释成波函数的坍缩;而对德布罗意-玻姆诠释来说,“坍缩”仅仅是宇宙波函数的一部分对另一部分*施加的影响,也就是测量仪器对子系统的影响,使子系统的波函数按照另一种方式演化的结果;反过来,子系统也对测量仪器的波函数产生了影响,这种影响使得测量仪器的波函数也发生了特定的演化,宏观表现就是测量仪器给出了某种表现出测量结果的状态(*说一部分对另一部分的影响其实是不准确的,因为按照德布罗意-玻姆理论的思想,整个宇宙的波函数是一个整体,它整体进行演化。对于隔离系统的研究只是这个整体波函数能够进行因式分解,从而两部分互相都能按照薛定谔方程演化,直到它们之间发生相互作用。但是从根本规律上说,只有整个宇宙的波函数才是一定按照薛定谔方程演化的。可以看出德布罗意-玻姆理论具有一种整体性的观点,它将整个宇宙的所有粒子描述为一个整体,从整体的角度看问题。这也与位于理论根基的非定域性紧密相关。)
德布罗意-玻姆理论的整体性思想从理论的方方面面都可以体现出来,从它对物理量的解释也可以看出这一点。以自旋为例,德布罗意-玻姆诠释不认为自旋是粒子固有的属性,而将自旋解释为作为宇宙整体的宇宙波函数的特性。德布罗意-玻姆诠释是一个满足反事实确定性的理论,诸如粒子的位置、速度这样的量在测量之前也被认为是具有确定值的。假如认为自旋也是如此,每个粒子在测量前都具有确定的自旋,的确会产生佯谬(EPR佯谬),但这不是对德布罗意-玻姆理论的正确理解方式。为了介绍德布罗意-玻姆理论对自旋这样的物理量的理解方式,我们先来回顾一下传统量子力学对自旋的一些结论(因为是可观测的实验结论,当然是正确的,德布罗意-玻姆理论也应当给出同样的现象):无法通过实验直接测出一个粒子自旋“完整”的值或者其在三维空间中的朝向,只能测量出自旋在某个方向上的分量。我们通过配置在某个方向上的测量仪器来测量自旋。以光子为例,如果光子自旋与测量仪器“同向”,测的结果为+1;“反向”则为-1;其他取向则按照特定概率,可能得到+1也可能得到-1。而在德布罗意-玻姆诠释中,“一个粒子的”自旋是测量仪器的波函数与该被测量的粒子波函数共同作用体现出的结果(本质上是宇宙波函数的一种特性)。在不了解测量仪器的全部信息的情况下,不可能预言一次自旋测量的结果,即使了解粒子的一切信息。实际上,测量仪器可以存在两种不同状态,使得这两种状态的测量仪器对被测量粒子的运动轨迹的影响完全相同,而测量仪器却显示出两种不同的末状态(分别指示自旋向上或向下)。德布罗意-玻姆理论认为“自旋是粒子的属性”仅仅是一种错觉,实际上是宇宙波函数的属性。EPR佯谬中,自旋测量的“超距”现象被解释成测量遥远的两个纠缠粒子自旋的测量仪器分别与同一个波函数(宇宙波函数的一部分,两个纠缠粒子的纠缠态波函数)作用从而体现出的状态——“超距”是由全宇宙空间无所不在的波函数作为桥梁传递的。
有人也许会问:既然量子力学的德布罗意-玻姆诠释和哥本哈根诠释在实验可观测量上会给出相同结果,那这种理论有给我们带来新的东西么?关于量子力学的其他诠释的研究有意义么?对于这个问题,我想回答三点:第一,我认为学习物理的人不能完全陷于实用主义。对物理过程背后的物理实质的探讨,物理意义的理解,是我们对世界的认识的基本。所以讨论可能的其他诠释在认识物理世界上是有意义的。我不赞成一些实用主义者的观点,认为不需要对公式背后的含义做过多解读,只要会用公式解决问题就行了。(David Mermin就是这样一个实用主义者,他有一句常常被误以为出自费曼的名言:“Shut up and calculate!”,因而被一些反实用主义的人讽刺为“量子力学的闭嘴计算诠释”。当然这实际上不是一种诠释,因为它不试图解释任何物理本质。)第二,广泛接触各种可能正确的其他诠释,会拓宽我们的思路,让我们分清哪些是单一诠释的假设,哪些是量子力学的共通/实验事实。这样我们就不会盲目地信奉某种未被实验证实、甚至不可能被实验证实的假设,比如“物理世界从根本上是随机的”、“粒子不具有确定的轨迹”亦或者“物理世界一定是决定性的,人一定没有自由意志”这样的信条。目前的实验无法区分哥本哈根诠释和德布罗意-玻姆诠释孰是孰非,未来也很有可能永远无法区分。面对这样无奈的现实,我们应该秉承一种开放的心态,将“随机论”与“决定论”置于一种平等的位置来接受。接受这个事实,即人类的能力并不是无限的,我们对大自然的了解尚未让我们能对此问题下出定论。宽广包容的心态无论是在生活中、还是在学术上,都是一个人所能具有的最高尚的美德之一。第三,即使是从实用主义的角度讲,量子力学的其他诠释的一些计算方法,也是很有启发性的。就以本文介绍的德布罗意-玻姆诠释为例,玻缅力学的粒子轨迹计算方法对于很多具体的量子力学问题的研究都是很适合或者很有启发性的。采用德布罗意-玻姆理论的粒子轨道计算方法,可以在计算机中直观地模拟大量量子粒子的运动,并且能够给出和哥本哈根诠释相同的结果,但是在直观性上具有不可比拟的优势。这种新方法在化学领域已经得到了相当多的应用。许多化学家用这种方法模拟计算具有量子行为的分子系统的动力学。著名的物理化学杂志Journal of Physical Chemistry A07年的一期就将玻缅力学的量子轨迹方法作为该期的封面,以肯定Wyatt教授发展德布罗意-玻姆理论的量子轨迹方法应用于量子化学领域的成果。在物理领域德布罗意-玻姆理论的思想方法也不乏应用。Eric R. Bittner领导的小组从德布罗意-玻姆理论中发展出了一种统计学的变种方法,用来计算非规则结构的格点的量子势。他发展的这种方法最近被用来计算n~100的Nen团簇的热容量的量子效应。不过必须要指出的是,大多数情况下,哥本哈根诠释的方法以其最简洁的计算方式、最少的不可观测量的计算,还是进行量子力学计算的首选方法。但是研究量子力学的其他诠释,即使在实用主义的角度上,也是有其独特的意义的。
====================
把公式一张一张做成图片贴完了才发现知乎还有插入公式的功能TAT……实在懒得全都去改了大家原谅我吧……把图片下一行的数字对应成上一行公式的编号就可以了……之前还有一次没编辑完就不小心发出来了,希望没有太多人看到……我怎么就这么笨TAT……