衡量图像语义分割准确率主要有三种方法:
- 像素准确率(pixel accuracy, PA)
- 平均像素准确率(mean pixel accuracy, MPA)
- 平均IOU(Mean Intersection over Union, MIOU )
在介绍三种方法之前,需要先说明一些符号表示的意义。
:类别总数,如果包括背景的话就是
:真实像素类别为
的像素被预测为类别
的总数量,换句话说,就是对于类别为
的像素来说,被错分成类别
的数量有多少。
:真实像素类别为
的像素被预测为类别
的总数量,换句话说,就是对于真实类别为
的像素来说,分对的像素总数有多少。
1.PA
PA的意义很简单,和我们常规的分类准确率计算没有区别,就是把分对的像素总量除以像素总数。

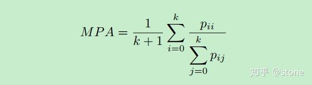
2.MPA
MPA是对PA的改进,它是先对每个类计算PA,然后再对所有类的PA求平均。

3.MIoU
在语义分割中,MIoU才是标准的准确率度量方法。它是分别对每个类计算(真实标签和预测结果的交并比)IOU,然后再对所有类别的IOU求均值。