经典的RNN结构如下图所示:

假设我们的时间序列只有三段, 为给定值,神经元没有激活函数,则RNN最简单的前向传播过程如下:
假设在t=3时刻,损失函数为 。
则对于一次训练任务的损失函数为 ,即每一时刻损失值的累加。
使用随机梯度下降法训练RNN其实就是对 、
、
以及
求偏导,并不断调整它们以使L尽可能达到最小的过程。
现在假设我们我们的时间序列只有三段,t1,t2,t3。
我们只对t3时刻的 求偏导(其他时刻类似):
可以看出对于 求偏导并没有长期依赖,但是对于
求偏导,会随着时间序列产生长期依赖。因为
随着时间序列向前传播,而
又是
的函数。
根据上述求偏导的过程,我们可以得出任意时刻对 求偏导的公式:
任意时刻对 求偏导的公式同上。
如果加上激活函数, ,
则 =
激活函数tanh和它的导数图像如下。

由上图可以看出 ,对于训练过程大部分情况下tanh的导数是小于1的,因为很少情况下会出现
,如果
也是一个大于0小于1的值,则当t很大时
,就会趋近于0,和
趋近与0是一个道理。同理当
很大时
就会趋近于无穷,这就是RNN中梯度消失和爆炸的原因。
至于怎么避免这种现象,让我在看看 梯度消失和爆炸的根本原因就是
这一坨,要消除这种情况就需要把这一坨在求偏导的过程中去掉,至于怎么去掉,一种办法就是使
另一种办法就是使
。其实这就是LSTM做的事情。
LSTM如何解决梯度消失问题
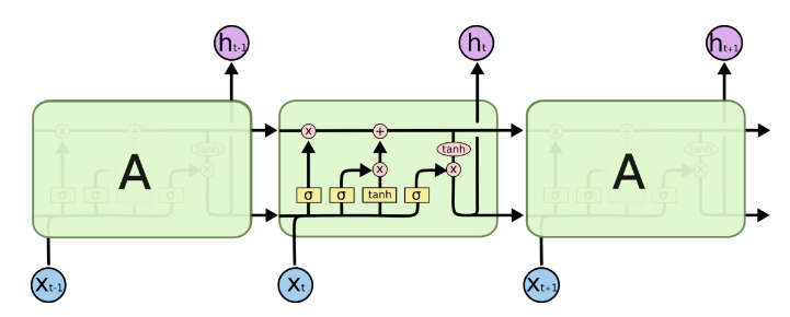
先上一张LSTM的经典图:

至于这张图的详细介绍请参考:Understanding LSTM Networks
下面假设你已经阅读过Understanding LSTM Networks这篇文章了,并且了解了LSTM的组成结构。
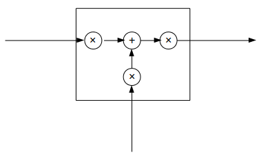
RNN梯度消失和爆炸的原因这篇文章中提到的RNN结构可以抽象成下面这幅图:

而LSTM可以抽象成这样:

三个×分别代表的就是forget gate,input gate,output gate,而我认为LSTM最关键的就是forget gate这个部件。这三个gate是如何控制流入流出的呢,其实就是通过下面 三个函数来控制,因为
(代表sigmoid函数) 的值是介于0到1之间的,刚好用趋近于0时表示流入不能通过gate,趋近于1时表示流入可以通过gate。
当前的状态 类似与传统RNN
。将LSTM的状态表达式展开后得:
如果加上激活函数,
对于LSTM同样也包含这样的一项,但是在LSTM中
假设 ,则
的函数图像如下图所示:

可以看到该函数值基本上不是0就是1。
传统RNN的求偏导过程:
如果在LSTM中上式可能就会变成:
因为 ,这样就解决了传统RNN中梯度消失的问题。
https://zhuanlan.zhihu.com/p/28687529